An Interesting Way to Multiply Two Numbers
How To Multiply Two Numbers Using ๐ฆ = ๐ฅยฒ

A Demonstration
Take the graph of ๐ฆ = ๐ฅยฒ that looks something like this:

Take any two numbers ๐ and ๐ which we would like to multiply together. Let us say ๐ = 5 and ๐ = 4 . We find these points on the graph of ๐ฆ = ๐ฅยฒ taking ๐ or ๐ on either side of the axis:

Next we simply draw a line that connects these two points:

The point where the line intersects the y axis is your answer of a times ๐!
Why it works?
For those of you that are interested, here is the maths behind why this works.
The equation of a line is given as:

Now, taking any two numbers ๐ and ๐ from our graph we have the following coordinates:

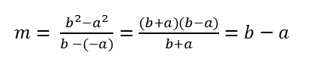
The gradient of our line ๐ is given as:

Making the equation of our line:

Now to find ๐ we substitute a point on the graph (๐, ๐ยฒ), that is ๐ฅ = ๐ and ๐ฆ = ๐ยฒ:

Leaving us with:

Now we have the equation of the line as:

To find our ๐ฆ intercept, we set ๐ฅ = 0, giving us:

This shows that the number at the ๐ฆ intercept, that is where our line intersects the ๐ฆ axis, is the result of ๐ times ๐!
Thank you very much for reading and I hope you learnt something new!